Alfred Lang | ||
Journal Article 1978 | ||
Der Einfluss von Reiz und Zustand auf den Wahrnehmungsprozess bei Säuglingen [1] | 1978.05 @DevPsy @Perc @CogEmot | |
49 / 74KB + 7 figs., 3 tabs. | ||
Mit Ruth Kaufmann-Hayoz und Franz Kaufmann Schweizerische Zeitschrift für Psychologie und ihre Anwendungen 37 (1) 1-21 | © 1998 by Alfred Lang | |
Scientific and educational use permitted | ||
Home || | ||
Summary: It is proposed that an infant's response to visual stimuli is determined in a complex manner by stimulus characteristics as well as the infant's state of arousal. This can be described as a process of regulation. The purpose of the present research was to explore how, in two months old infants, certain response variables are influenced by features of the stimulus and levels of arousal. State of arousal was defined by a combined measure of heart rate and motor activity. Three variants of a schematic drawing of a face (representing levels of discrepancy) were used as stimuli. Response variables included fixations, orientation of the head, vocalizations, and several aspects of facial expression; some of these variables were interpreted as indicators of attention, whereas others were regarded as signs of "tension" during processing. Results show that with increasing level of arousal, attention to the stimulus decreases while signs of "tension" increase. Effects of stimuli show great interindividual variation but, generally, few signs of "tension" are found with the stimulus representing moderate discrepancy.
Zusammenfassung: Es wird angenommen, daß das Wahrnehmungsverhalten von Säuglingen gegenüber visuellen Reizen sowohl durch Merkmale dieser Reize als auch durch den Aktivationszustand, in dem sich das Kind befindet, determiniert ist. Das komplexe Zusammenwirken beider Faktoren kann als Regulationsprozeß verstanden werden. In der vorliegenden Untersuchung an zwei Monate alten Kindern sollte festgestellt werden, welche Aspekte des Wahrnehmungsverhaltens durch bestimmte Reizeigenschaften und das Aktivationsniveau beeinflusst werden. Der Zustand wurde durch ein kombiniertes Maß aus Pulsfrequenz und Menge der motorischen Aktivität definiert, während als Reize drei Varianten einer schematischen Darstellung des Gesichts gewählt wurden, welche verschiedene Diskrepanzstufen darstellen. Die Reaktionsvariablen Fixationen, Orientierung des Kopfes, Vokalisationen und einige Aspekte der Mimik) wurden teilweise als Aufmerksamkeitsindikatoren teilweise als Zeichen von «Spannung" während des Verarbeitungsprozesses betrachtet. Die Resultate zeigen mit steigendem Aktivationsniveau eine Abnahme der Aufmerksamkeitszuwendung und eine Zunahme der «Spannungszeichen». Die Wirkungen der Reize sind individuell sehr verschieden, wobei allgemein am wenigsten «Spannungszeichen» beim Reiz mit mittlerem Diskrepanzgrad festzustellen sind.
Résumé: L'on suppose que la réaction des nourrissons aux stimuli visuels est déterminée tant par les caractéristiques de ces stimuli que par l'état d'activation dans lequel l'enfant se trouve. L'effet complexe des deux facteurs peut être considéré comme un processus de régulation. L'étude décrite ici, faite sur des enfants de deux mois, a pour but de démontrer quels aspects de la réaction sont influencés par certaines qualités des stimuli et de l'état. L'état a été défini au moyen d'une mesure combinant la fréquence de pulsation et la quantité d'activité motrice, alors que les stimuli choisis consistaient en une représentation très schématique d'un visage et de deux modifications représentant deux degrés de discrépance. Les variables de réaction (fixations, orientation de la tête, vocalisations et certains aspects de la mimique) furent en partie considérées comme des variables de l'attention, et en partie comme signes de "tension" lors du processus d'élaboration. Les résultats montrent que parallèlement de l'augmentation du niveau d'activation l'attention diminue et les signes de "tension" augmentent. Les effets des stimuli diffèrent largement d'un sujet à l'autre; mais en général, le stimulus ayant un degré de discrépance moyen est celui qui présente le moins de signes de "tension".
Konfrontiert man einen Säugling im Alter von etwa zwei bis vier Monaten in geeigneter Weise mit einem visuellen Reiz, so ist man als aufmerksamer Beobachter immer wieder beeindruckt davon, wie offensichtlich sich hier Wahrnehmen als kognitive Leistung des Organismus darstellt. Man glaubt dem Kind anzusehen, daß eine Verarbeitung in ihm abläuft, daß es versucht den Reiz zu «erkennen», ihn etwas Bekanntem zuzuordnen -- und es scheint deutlich zu werden, ob es schließlich etwas mit ihm «anfangen kann» oder nicht. Unter der Leitung von MEILI (1957, MEILI-DWORETZKI und MEILI 1972) ist diese komplexe «Wahrnehmungsreaktion, in verschiedenen Zusammen hängen untersucht worden (u.a. PULVER 1959, LOHR 1960, LANG 1967). Diese Gruppe beschäftigte sich insbesondere mit der Bedeutung von individuellen Ausprägungen der Reaktion innerhalb der weiteren kognitiven und Persönlichkeitsentwicklung eines Kindes.
Von PULVER (1959) ist die Reaktion folgendermaßen beschrieben worden (s. 25): Die meisten Kinder stoppen die Bewegungen für ein paar Sekunden ganz ab oder dämpfen sie doch wenigstens. Dann werden diese im allgemeinen wieder aufgenommen, häufig verstärkt gegenüber vorher, bei fixierend oder fluktuierend weiterdauerndem Interesse ... Von diesem Verlauf gibt es nun Abweichungen in zwei entgegengesetzten Richtungen. Einerseits bremsen nämlich ein paar Kinder bei der Zuwendung ihre Bewegungen nicht ab, sondern führen sie vergnügt weiter und lächeln den Gegenstand sogar an. Bei der andern Gruppe dagegen sind die nach kurzer (oder längerer) Bewegungsstille wiederaufgenommenen Bewegungen nicht von der gelösten, angeregten Art wie im ,normalen' Verlauf; sie wirken vielmehr zappelig-nervös oder doch ruckartig-abrupt, und der Gesichtsausdruck ist unfroh. Offenbar geraten diese Kinder in eine Art Erregungszustand Der erste Fall wurde ,positive', der zweite ,negative Wahrnehmungsreaktion' genannt; ..."
Aus dem Verhalten des Kindes während der Reizdarbietung wird auf das Gelingen des Verarbeitungsprozesses geschlossen, und zwar mit Hilfe eines Beobachterurteils, in das hauptsächlich Aspekte der Motorik (gespannte vs. gelöste Bewegungen) und der Mimik (starr vs. heiter) eingehen. Obwohl einige Resultate von MEILI-DWORETZKIS Längsschnittstudie (1972) ausserordentlich bedeutsam sind (z.B. die verblüffende Korrelation von .63 zwischen der Wahrnehmungsreaktion im Säuglingsalter und der Intelligenzleistung im AIT im Alter von 15 Jahren) ist außerhalb der Berner Gruppe nicht mit dieser Variablen gearbeitet worden. Dies mag hauptsächlich daran liegen, daß es sich um eine komplexe Beurteilung handelt, deren Kriterien recht schwierig zu vermitteln sind. Zwar sind befriedigende Übereinstimmungen zwischen unabhängigen Beobachtern erzielt worden, und LOHR (1960) konnte eine Reihe von objektiven Verhaltensmerkmalen angeben, die mit dem Beobachterurteil zusammenhängen. Es ist indessen recht schwierig, einen Bezug zwischen den Arbeiten der Berner Gruppe und anderen wichtigen Ansätzen zur Untersuchung frühkindlicher perzeptiver und kognitiver Prozesse herzustellen. So zogen zum Beispiel SHULTZ und ZIGLER (1970) nur Vokalisationen und Lächeln heran, um auf die Dauer und das Gelingen des Verarbeitungsprozesses bei verschiedenen Reizen zu schließen. Die meisten andern Arbeiten beschränken sich auf Fixationsvariablen, welche jedoch nur Aussagen über die Aufmerksamkeitszuwendung erlauben.
Das Hauptgewicht der ersten Berner Untersuchungen liegt in der differentialpsychologischen Fragestellung, d. h. in der Erfassung der individuellen Ausprägung des Wahrnehmungsverhaltens verschiedener Kinder bei gleichen Reizen. LANG (1967) ging dann zu einer allgemeinpsychologischen Fragestellung über, indem er Reizvariationen einführte und bei einer Gruppe von Kindern reizbedingte Unterschiede der Reaktionsweise beobachtete (eine eingehendere Besprechung dieser Untersuchung erfolgt weiter unten).
Wirkungen des Reizes. Nach KAGAN (1971) ist ein wichtiges, allg. Merkmal jedes Reizes der Grad seiner Diskrepanz von dem für seine Verarbeitung bestehenden kognitiven «Schema». Er versteht unter Schema (1971, S.Sf.):
"... a representation of an event that preserves the temporal and spatial arrangement of its distinctive elements without necessarily being isomorphic with the event. (...) The schema need not involve an action component, and is not synonymous with an image, symbol or word, although schemata can be about these entities."
Die Hauptfunktion des Schemas ist, daß es dem Organismus erlaubt, Ereignisse wiederzuerkennen. Je Länger und häufiger der Organismus einer bestimmten Reizkonstellation ausgesetzt ist, um so artikulierter wird das Schema für diese Konstellation. Ein diskrepanter Reiz hat mit dem ursprünglichen Ereignis einige wichtige Merkmale gemeinsam und ist geeignet, die Aufmerksamkeit des Organismus auf sich zu lenken. Nach KAGAN erregt ein solcher Reiz den Organismus und stellt potentiell immer eine Gelegenheit für Angst dar, welche dann manifest wird, wenn der Reiz nicht verarbeitet werden kann. Diese Idee stimmt grundsätzlich überein mit den Überlegungen von MEILI und LANG, wonach eine «gespannte, oder «negative> Wahrnehmungsreaktion dann auftritt, wenn die Bewältigung der durch den Reiz erzeugten Erregung nicht gelingt. Empirisch untersucht wurde von der Gruppe um KAGAN jedoch fast ausschließlich das Fixationsverhalten als Reaktion auf Reiz-Schema-Diskrepanz. Dabei lautet die verschiedentlich überprüfte und teilweise bestätigte Hypothese, daß Reize von mitttlerer Diskrepanz die ausgeprägteste Aufmerksamkeitszuwendung erhalten (McCALL et al. 1970, 1973). Wie jedoch die Ergebnisse von LANG (1967) nahelegen, ist durch das Ausmaß der Aufmerksamkeitszuwendung noch nichts über das Gelingen des Verarbeitungsprozesses ausgesagt, da zusammen mit langen Fixationszeiten sowohl sehr gelöste als auch sehr gespannte Reaktionsformen auftreten. Es scheint deshalb notwendig zu sein, die Reaktion auf verschieden diskrepante Reize anhand mehrerer Verhaltensvariablen zu erfassen.
Wirkungen des Zustandes. Von verschiedenen Autoren wird betont, daß neben dem Reiz auch der «Verhaltenszustand» behavioral state) eines Säuglings seine Reaktionsweise auf ,Reize entscheidend beeinflußt (ESCALONA 1962, HUTT et al. 1969). PRECHTL hält die Beachtung des Zustandes bei der neurologischen Untersuchung von Neugeborenen für sehr wichtig (PRECHTL und BEINTEMA 1964). Er konnte den Einfluß des Zustandes auf die Auslösbarkeit verschiedener Reflexe nachweisen (1967a, 1967b). Andererseits messen BELL und HAAF (1971) aufgrund ihrer Untersuchung einiger motorischer Reaktionen von Neugeborenen dem Zustand eher geringe Bedeutung bei. Am häufigsten wurde der Unterschied der Pulsreaktion zwischen Schlaf und Wachzustand untersucht LEWIS et al. 1967, BERG etal. 1971, CAMPOS und BRACKBILL 1973, REWEY 1973). Die diesbezüglichen Resultate bei Säuglingen im Alter bis zu vier Monaten zeigen im allgemeinen, daß im Schlaf deutlichere, interindividuell einheitlichere Reaktionen (meistens Pulsbeschleunigungen), im Wachzustand weniger einheitliche und eher decelerative Reaktionen auftreten. Da Pulsbeschleunigung theoretisch als Komponente der Defensivreaktion, Pulsverlangsamung als Komponente der Orientierungsreaktion (vgl. SOKOLOV 1963) gilt, sind solche Resultate nicht ohne Bezug zu der Vermutung, daß neben der Reiz-Schema-Diskrepanz auch der Zustand des Kindes mitbestimmt, wie leicht die Verarbeitung des Reizes gelingt. LANG (1967) hat die Abhängigkeit der gelösten vs. gespannten Wahrnehmungsreaktion nicht nur vom Reiz (nach gestalttheoretischen Überlegungen variierte «Schwierigkeit» der Konfiguration), sondern auch vom Zustand des Kindes (Zeitpunkt vor vs. nach einer Mahlzeit) untersucht. Er fand bei 9 und 10 Wochen alten Kindern in wenig aktiviertem Zustand (nach der Mahlzeit) sowie bei regelmäßigen Reizen eher gelöste, in hoch aktiviertem Zustand (vor der Mahlzeit) und bei unregelmäßigen Reizen eher gespannte Reaktionen. Die Ergebnisse hatten bei der Komplexität der Zusammenhänge eher den Charakter von Hinweisen als von gesicherten Tatsachen, und eine erneute Untersuchung mit anderen Operationalisierungen des Zustandes erschien äusserst wünschenswert.
Über das Zusammenwirken von Reiz- und Zustandsvariablen bestehen noch keine präzisen theoretischen Umstellungen. Wir nehmen jedoch an, daß die Zuwendung des Kindes zu einem Reiz von einem Regulationsprozeß abhängt, der wesentlich durch die Gesamterregung des Kindes -- zusammengesetzt aus allgemeinem Aktivationsniveau und reizspezifischer Erregung -- bestimmt ist. Diskrepante Reize fügen einen größeren zusätzlichen Erregungsanteil zum allgemeinen Aktivationsniveau hinzu als wenig diskrepante. Übersteigt diese Erregung einen kritischen Wert, so schlägt die Zuwendung in Abwendung um, was die Wahrscheinlichkeit einer erfolgreichen Zuordnung des Reizes zu einem Schema vermindert. Da sich diese Vorstellungen vorläufig empirisch kaum überprüfen lassen führten wir eine explorative Untersuchung mit der folgenden Zielsetzung durch. In einem faktoriellen Versuchsplan sollten die Wirkungen und Wechselwirkungen von Reiz (konzipiert als Diskrepanz zwischen Reiz und Schema) und Zustand (konzipiert als Aktiviertheit oder Erregungsniveau) auf eine Reihe von Verhaltensvariablen untersucht werden. Dabei galt unser Interesse nicht nur den üblichen Variablen der Aufmerksamkeitszuwendung, sondern ebensosehr solchen Variablen, welche möglicherweise Rückschlüsse auf den «Mechanismus» der Verarbeitung erlauben. Diese sollten jedoch zuverlässig und unter Vermeidung von komplexen Beobachterurteilen erhebbar sein.
Die Faktoren Zustand (Z) und Reiz-Schema-Diskrepanz (R) wurden in je drei Stufen variiert, so daß Reaktionsverläufe in 9 Kombinationen von Z und R untersucht werden konnten. Es wurden wiederholte Messungen durchgeführt: jedes Kind wurde zweimal in jeder Kombination von Z und R untersucht, erhielt also 18 Reizdarbietungen, auf 3 Versuchstage verteilt. Zur Kontrolle von Habituationseffekten wurde die Reihenfolge der Reize für jedes Kind im voraus so festgelegt, daß - über die ganze Gruppe gesehen - jeder Reiz gleich oft an jeder der 18 Positionen erschien und derselbe Reiz nie zweimal nacheinander auftrat. Demgegenüber konnte die Reihenfolge der Zustände nicht im voraus festgelegt werden.
Definition des Zustandes
Angesichts der Schwierigkeiten der Aktivationsforschung ist es zwar heikel, sich auf eine Variable wie Aktiviertheit überhaupt einzulassen. Andererseits ist nicht bestreitbar, daß sich der beobachtbare Zustand eines Säuglings zumindest teilweise auf einer Dimension zwischen Schlaf und agitiertem Schreien beschreiben läßt. In allen in der Literatur beschriebenen Beobachtungskategorien zur Bestimmung des Verhaltenszustandes von Säuglingen (2. B. PRECHTL und BEINTEMA 1964, BELL und HAAF 1971, BERG et al. 1971) findet man denn auch die Dimension der Erregung, erschlossen aus der Menge und der Gespanntheit der Bewegungen Freilich unterscheiden sich die beschriebenen Zustände ebenfalls nach den Merkmalen der Stimmung (zufrieden vs. unzufrieden) und der Wachheit (Augen offen vs. geschlossen). BERG et al. (1931) verwendeten bei 4 Monate alten Kindern die Kategorien sleepy, drowsy, alert, fussy und crying. In Vorversuchen mit einem ähnlichen Kategoriensystem fanden wir allerdings unbefriedigende Reliabilität Die Beurteiler zeigen die Tendenz, die Beurteilungsdimension zu wechseln und hatten Schwierigkeiten, graduelle Abstufungen z. B. der Bewegungsmenge unabhängig vom vorangegangenen Zeitintervall zu beurteilen. Dies fiel besonders deshalb ins Gewicht, weil bei unserem Versuchsplan die Bestimmung des Zustandes während der Versuche laufend und an jedem Untersuchungstag eines Kindes in gleicher Weise zuverlässig erfolgen sollte. Da verschiedene Arbeiten (CAMPOS und BRACKBILL 1973, REWEY 1973, THEORELL und PRECHTL 1974) gezeigt haben, daß u.a. Pulsfrequenz und Bewegungsmenge des Kindes sehr hoch mit den Beobachtungskategorien des Zustandes korrelieren, entwickelten wir aus diesen beiden Parametern ein «Erregungsmaß». Beide Variablen lassen sich technisch einfach und ohne Beeinträchtigung des Kindes registrieren und quantifizieren (vgl. KAUFMANN et al. 1976).
Das «Erregungsmaß» beruht auf der (durch die erwähnten Arbeiten begründeten) Annahme, daß sowohl hoher Puls als auch viel Bewegung ein hohes Erregungsniveau indizieren und teilweise unabhängig voneinander sind. Da Puls und Bewegungsmenge interindividuell stark variieren, wurde bei jedem Kind in einem Vorversuch die Streubereiche festgestellt und in IO Klassen eingeteilt. Aufgrund dieser individualisierten Klassenbildung wurde während der Versuche alle fünf Sekunden sowohl ein Bewegungswert als auch ein Pulswert ermittelt und durch Addition und Mittelung der beiden Werte ein «Erregungswert» errechnet. Dieser konnte somit Werte zwischen Null (langsamer Puls, minimale Bewegung) und 10 (schneller Puls, viel Bewegung) annehmen. Reizdarbietungen fanden immer dann statt, wenn drei Werte hintereinander in einem zum voraus definierten Bereich lagen, der niedriger (Zustand I), mittlerer (Zustand II) oder hoher Aktiviertheit (Zustand III) entsprechen sollte. Dieses Verfahren ist natürlich nur berechtigt, wenn sich die individuellen Streubereiche von Puls und Bewegung von Tag zu Tag nicht allzusehr verändern. Vorversuche zeigten, daß die Schwankungen in für unsere Zwecke annehmbaren Grenzen liegen.
Die verwendeten Reize
Es wurden drei Reize gewählt, von denen mit einiger Sicherheit angenommen werden konnte, daß sie dasselbe Schema (im Sinne von KAGAN, vgl. oben) ansprechen, jedoch drei verschiedene Diskrepanzstufen davon darstellen. Es sind hauptsächlich zwei Arten der Operationalisierung dieser Diskrepanz denkbar.
a) Für einen zu Beginn des Versuches neuen Reiz wird durch Familiarisierung ein Schema geschaffen. In bestimmten Merkmalen von diesem familiarisierten Reiz abweichende Konfigurationen werden dann als diskrepante Reize eingeführt. Dieses Verfahren ist z. B. von HOPKINS et al. (1976) und McCALL et al. (1973) verwendet worden.b) Es werden entwicklungstheoretische Annahmen darüber gemacht, wann und wie sich ontogenetisch ein Schema für bestimmte Reize entwickelt, z. B. für das menschliche Gesicht. Abweichungen von der angenommenen Schema-Konfiguration werden als diskrepante Reize eingeführt.
Wir versuchten drei Reize so zu konstruieren, daß verschiedene Überlegungen zu derselben Rangordnung der Reize auf der Diskrepanzdimension führen. Aus der Literatur über die Entwicklung des Gesichtsschemas (für einen Überblick vgl. v. CRANACH und VINE 1973) scheint hervorzugehen, daß im Alter von 2 Monaten ein Gesichtsreiz durch eine ovale Kontur und zwei in der Horizontalen innerhalb der Kontur liegende «Augenflecken» repräsentiert ist. Eine solche Konfiguration wählten wir als minimal diskrepanten Reiz (A-Reiz, vgl. Abbildung 1). Zwei Diskrepanzstufen hofften wir durch Veränderung der Position der «Augenflecken» innerhalb der Kontur zu erreichen (B-Reiz und C-Reiz, vgl. Abbildung 1). Zudem familiarisierten wir den A-Reiz, indem er jedem Kind im Vorversuch dreimal je zwei Minuten lang gezeigt und in der Zwischenzeit zu Hause in der Umgebung des Kindes aufgestellt wurde. In gewissen physikalischen Merkmalen, von denen bekannt ist, daß sie z. B. die Fixationszeiten stark beeinflussen (vgl. KARMEL 1969), unterscheiden sich die Reize jedoch nicht voneinander: Anzahl Elemente, Gesamtlänge der Konturen, Gesamthelligkeit und Gesamtfläche sind bei den drei Reizen gleich.

Abbildung 1: Die verwendeten Reize. Die Abweichung der Verbindungslinie zwischen den "Augen" von der Horizontalen beträgt bei B 30°, bei C 60°. Zugleich ist der Abstand zwischen den Augen vergrößert.
Versuchsablauf, Versuchspersonen
Das Kind befand sich während des Versuches halb liegen in einem Sitzchen, vom VI und der Mutter durch einen Tüllvorhang getrennt. In 50 cm Augenabstand war mit gleicher Neigung wie die Rücklehne des Sitzchens ein Fernsehmonitor angebracht (23 x 18cm), auf welchem die Reize (hell auf dunklem Grund) erschienen. Die Reize füllten einen Blickwinkel von 16 Grad aus. Alle Versuche fanden im Labor statt. Dies führte zwar zu einigen Nachteilen, die mit der Schaffung einer (für das Baby) völlig neuen Situation verbunden sind, war aber wegen der notwendigen technischen Einrichtungen nicht zu umgehen. Die Bestimmung der Pulsfrequenz erforderte ein EKG-Gerät, die Messung der Bewegung ein eigens zu diesem Zweck konstruiertes Baby-Sitzchen, die Darbietung der Reize sowie die phänomenale Verhaltenserfassung eine Video-Aufnahme- und Wiedergabeeinheit. Um mögliche negative Einflüsse der Versuchssituation auf das Verhalten des Kindes gering zu halten, wurden alle technischen Geräte im Nebenraum untergebracht oder durch Tücher abgedeckt (für die detaillierte Beschreibung der Laboreinrichtung siehe KAUFMANN et al. 1976).
Die Kinder nahmen an vier je ca. 20 Minuten dauernden Versuchssitzungen teil, welche innerhalb einer Woche jeden zweiten Tag stattfanden. Die erste Sitzung war als Vorversuch gedacht, der hauptsächlich dazu diente, die individuellen Streubereiche von Puls und Bewegung zu bestimmen. Dabei wurde der A-Reiz dreimal je zwei Minuten (gemessen vom Beginn der ersten Fixation an) dargeboten, um das Kind einerseits an die Art der Reizdarbietung zu gewöhnen, andrerseits den A-Reiz zu familiarisieren. Nach der ersten Sitzung wurde der A-Reiz in Form einer Kartonvorlage mit nach Hause gegeben und die Mutter gebeten, diese in der Umgebung des Kindes aufzustellen. Die drei folgenden Hauptversuche unterschieden sich vom Vorversuch insofern, als sechs Reizdarbietungen erfolgten (jeder Reiz zweimal). Während der Hauptversuche wurde mit Hilfe eines Tischrechners laufend der Zustand des Kindes bestimmt und die Reize nur dann dargeboten, wenn ein vom Versuchsplan geforderter Zustand erreicht war. Zwischen den einzelnen Reizdarbietungen wurde der Zustand wenn nötig durch Schaukeln oder durch Intervention der Mutter beeinflußt.
Der Versuch wurde mit 12 gesunden, termingeborenen Kindern im Alter zwischen 9 und 12 Wochen begonnen, konnte jedoch nur mit deren 6 vollständig durchgeführt werden. Die Gründe für das Ausscheiden der Hälfte der Kinder waren vielfältig: Krankheit (2), andauerndes Weinen (2), Einwand der Eltern ( 1), technischer Ausfall (1).
Die Variablen des Reaktionsverlaufs
Verhaltensvariablen. Die Variablen Fixation, Kopfausrichtung, Lächeln, Bewegungen der Augenbrauen und Vokalisationen (für die genauen Definitionen siehe weiter unten) wurden anhand von Videoaufzeichnungen einzeln ausgewertet. Ausgehend von der ersten Fixation jeder Reizdarbietung wurden Häufigkeit und Dauer aller Variablen nacheinander mit Hilfe einer elektronischen Steuerung und eines programmierbaren Tischrechners halbautomatisiert registriert. Der Beobachter hatte immer solange eine Taste zu drücken, wie ein bestimmtes Ereignis zu beobachten war (z. B. wenn bei der Variablen Fixation der Reiz fixiert wurde). Nach 120 Sekunden (Dauer der Reizdarbietung) schrieb der Rechner die vom Beobachter eingegebene Sequenz heraus. Dieses Verfahren hatte den Vorteil, daß sich der Beobachter voll auf die zu beobachtende Verhaltensweise konzentrieren konnte, daß er in keiner Weise durch das Aufschreiben von Daten oder ähnlichem unterbrochen wurde, und daß er im Falle von Unsicherheit oder zu Kontrollzwecken die gleiche Sequenz beliebig oft wiederholen konnte. Im folgenden werden die erfaßten Verhaltensweisen einzeln kurz beschrieben.
Fixationen (FIX). Obwohl das Videobild keine objektiven Kriterien für das Vorhandensein einer Fixation enthält (z. B. corneale Spiegelung), besteht in den meisten Fällen eine große Obereinstimmung zwischen den Beobachtern darüber, wann das Kind den Reiz fixiert und wann nicht (für die Summe der Fixationszeiten über die Reizdarbietungen pro Kind Korrelationen zwischen .87 und .98). In Fällen größerer Unsicherheit (etwa wenn ein Kind unruhig und weinerlich war) einigten sich zwei Beobachter zur Gewinnung der definitiven Werte.
Kopfausrichtung (KOPF). Mit dieser Variablen sollte erfaßt werden, ob der Kopf des Kindes ganz in Richtung des Reizes gerichtet ist oder nicht. Die Verhaltensweise wurde immer dann kodiert, wenn beide Ohren des Kindes sichtbar waren.
Hochziehen der Augenbrauen (BR H). Vgl. Abbildung 2.
Zusammenziehen der Augenbrauen (BR 2). Vgl. Abbildung 2.
Vokalisationen (VOK). Jede Art von Lautäußerung des Kindes, auch Weinen.
Lächeln (LAECH). Diese Variable mußte leider von der weiteren Auswertung ausgeschlossen werden, da sie nur bei einem Kind mehrmals vorkam.
Puls. Während des ganzen Versuches, also auch während der Reizvorgaben wurde alle fünf Sekunden ein Pulswert ermittelt, und zwar in Hundertstels-Sekunden die Zeit, die zwischen dem ersten und dem sechsten Pulsschlag des vorangegangenen Fünf-Sekunden-Intervalls verstrichen ist (vgl. KAUFMANN etal. 1976). Dies entspricht einem Zeitstichprobenverfahren, da diese fünf Puls-Intervalle nur etwa die Hälfte eines Fünf-Sekunden-Intervalls beanspruchen. Aufgrund dieser Information, die in erster Linie zur Zustandsbestimmung benötigt wurde, kann natürlich nicht eine genaue beat-to-beat-Analyse der Pulsreaktion vorgenommen werden. Stattdessen prüften wir nur sehr grob, ob im Durchschnitt der ersten 30 Sekunden der Reizdarbietung eine Beschleunigung oder eine Verlangsamung gegenüber dem Durchschnitt der letzten 20 Sekunden vor der Reizdarbietung vorliegt und wie viel die größte Abweichung beträgt.
Globalurteil Gelöstheit-Gespanntheit. Um eine Beziehung zu der früheren Arbeit von LANG (1967) herzustellen, wurde bei jeder Reizdarbietung alle fünf Sekunden die Gelöstheit vs. Gespanntheit des Kindes auf einer neunstufigen Skala von einem Beobachter anhand des Videobildes beurteilt. Die Kriterien für die Beurteilung sind bei LANG (1967) ausgeführt.

Abbildung 2: Brauenstellungen zweier Kinder. BRH Brauen deutlich hochgezogen; BRZ Brauen zusammen und leicht nach unten gezogen.
Einige dieser Variablen können als Indikatoren für Aufmerksamkeitszuwendung, einige als Indikatoren für Spannung bzw. Lösung während des Verarbeitungsprozesses angesehen werden. Es liegt nahe, die Variablen FIX und KOPF als Aufmerksamkeitsindikatoren, die Variablen BR H, Lächeln und Puls-Deceleration als Indikatoren einer gelösten Zuwendung und die Variablen BR 2, VOK und Puls-Akzeleration als Indikatoren einer gespannten Auseinandersetzung mit dem Reiz zu betrachten. Im Rahmen des Erkundungsexperimentes formulierten wir keine spezifischen Hypothesen. Aufgrund der zitierten Arbeiten von KAGAN, LANG und MEILI ist jedoch zu erwarten, daß
- die Aufmerksamkeitszuwendung beim Reiz B am größten ist (mittlere Diskrepanz)- mit zunehmendem Erregungsniveau und mit zunehmender Reiz-Schema-Diskrepanz die Spannungsindikatoren zunehmen und die Lösungsindikatoren abnehmen.
Analyseverfahren
Es ist vorauszuschicken, daß beim verwendeten Versuchsplan die Möglichkeit gegeben ist, die Wirkungen von Reiz und Zustand für jedes Individuum einzeln zu prüfen. Aus verschiedenen Gründen mußten jedoch nachträglich einige Reizdarbietungen von der Auswertung ausgeschlossen werden, so daß manche Zellen pro Kind nur einfach besetzt waren. Der häufigste Grund war, daß bei längerer Latenzzeit bis zur ersten Fixation die drei letzten Erregungswerte vor der ersten Fixation nicht mehr in demselben Bereich lagen wie die drei Werte vor der Vorgabe des Reizes. Vereinzelt kam es auch vor, daß das Kind trotz einer ersten kurzen Fixation noch während der Darbietung des Reizes einschlief. Zudem traten, wie wir noch sehen werden, recht massive Effekte der Versuchswiederholung auf. Obwohl es also absolut wünschbar wäre, die Analyse auf individueller Basis durchzuführen, würde eine solche Auswertung bei den vorliegenden Daten zu sehr in der Luft hängen. Es werden daher nur die Gruppenresultate dargestellt und erst in der Diskussion auffällige Erscheinungen bei einzelnen Individuen erwähnt. Da es sich um ein Erkundungsexperiment mit kleiner Stichprobe handelt, wird ein relativ großer Fehler erster Art in Kauf genommen: auch Veränderungen, die auf dem 10-% -Niveau gesichert sind, werden interpretiert.
In einer ersten Varianzanalyse Reiz x Zustand sollte geprüft werden, inwieweit sich Haupt- und Wechselwirkungen bei den Variablen FIX, KOPF, BRH, BRZ und VOK zeigen (Summe und Häufigkeit, siehe Abschnitt «Verhaltensvariablen»). Da es möglich ist, daß bestimmte Wirkungen nur in bestimmten Zeitabschnitten der gesamten Reizdarbietungszeit auftreten (z.B. nur unmittelbar nach Erscheinen des Reizes), teilten wir diese in vier gleiche Abschnitte (zu je 30 sec) und rechneten sowohl für jeden Zeitabschnitt als auch für die totale Zeit je eine Varianzanalyse. Anschließend wurden die Zeitabschnitte als Faktor eingeführt und je eine Varianzanalyse Reiz x Zeitabschnitt und Zustand x Zeitabschnitt gerechnet.
Von Interesse ist auch die Frage, ob die Wiederholung der Reizdarbietung innerhalb einer Versuchssitzung und über die drei Versuchstage hinweg in irgendeiner Weise wirksam wird. Es könnte erwartet werden, daß sich Habituationseffekte einstellen, die von der Zielsetzung des Versuches her unerwünscht wären. Wir versuchten daher die Wirkungen dieser Art mit einer Varianzanalyse Position (Reihenfolge am Versuchstag) x Tag (Reihenfolge der drei aufeinanderfolgenden Versuchstage) zu erfassen.
Bei der Variablen Puls prüften wir mit Hilfe des X2-Tests, ob sich die relative Häufigkeit von Accelerationen und Decelerationen (siehe Abschnitt Puls) in Abhängigkeit von Reiz und Zustand verändert.
Beim globalen Urteil der Gelöstheit vs. Gespanntheit wurden von jedem Kind die 3 insgesamt am niedrigsten («gelöstesten») und die 3 am höchsten («gespanntesten») beurteilten Verläufe ausgewählt und die relative Häufigkeit der 3 Zustände, der 3 Reize und der 6 Positionen in diesen beiden Gruppen verglichen (X2). Es wurde auch geprüft, in welchen andern Variablen sich die «gelösten» von den gespannten, Reaktionen unterscheiden.
Wirkungen von Reiz und Zustand
In der Varianzanalyse Reiz x Zustand zeigen sich nur wenig gesicherte Resultate, wobei es sich ausschließlich um Haupteffekte handelt. Bei näherer Analyse der Daten wird deutlich, daß ein beträchtlicher Anteil der nicht erklärten Varianz auf Kosten des Verlaufs (über die Zeitabschnitte) geht. Dementsprechend lassen die Varianzanalysen Reiz x Zeitabschnitt und Zustand x Zeitabschnitt die Trends der ersten Varianzanalyse deutlicher werden.
Tabelle I: Hauptwirkungen von Reiz und Zustand über die totale Reizdarbietungszeit von 120 sec. · = Summe in Sekunden; f = Häufigkeit (FG: 2/308)
Variable | Durchschnittswerte im Zustand | F-Test | Durchschnittswerte beim Reiz | F-Test | |||||
|---|---|---|---|---|---|---|---|---|---|
I | II | III | A | B | C | ||||
FIX | · | ||||||||
f | |||||||||
KOPF | · | ||||||||
f | |||||||||
BRH | · | ||||||||
f | |||||||||
BRZ | · | ||||||||
f | |||||||||
VOK | · | ||||||||
f | |||||||||
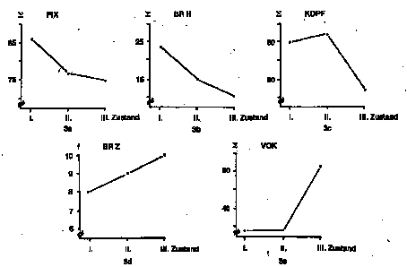
Tabelle I gibt einen Oberblick über die Hauptwirkungen von Reiz und Zustand über die gesamte Reizdarbietungszeit. (Da die Tendenzen innerhalb der Zeitabschnitte den Tendenzen der gesamten Reizdarbietungszeit entsprechen, sind diese nicht separat aufgeführt.) Es wird deutlich, daß der Zustand auf alle abhängigen Variablen entweder in der Summe oder in der Häufigkeit eine Wirkung hat, während sich eine Reizwirkung nur bei zwei Variablen zeigt. Je höher die Kinder aktiviert sind, um so kürzere Fixationszeiten weisen sie durchschnittlich auf (Abbildung 3a), und ebenso vermindert sich die Zeit, während derer sie die Brauen hochziehen (Abbildung 3b). Der Kopf ist in den Zuständen I und II etwa gleich lange, in Zustand III jedoch deutlich weniger lange auf den Reiz ausgerichtet (Abbildung 3c). Umgekehrt geht mit der Zunahme an Aktiviertheit auch eine Zunahme in der Häufigkeit des Brauen Zusammenziehens einher (Abbildung 3d). Bei den Vokalisationen zeigt sich von Zustand I zu Zustand II keine Veränderung, jedoch ist in Zustand III eine massive Zunahme zu beobachten (Abbildung 3e).

Abbildung 3: Hauptwirkungen des Zustandes. Z = Summen in Sekunden. f = Häufigkeit.
Die beiden Wirkungen, die auf den Reiz zurückgehen, zeigen zuerst eine Abnahme und dann wieder eine Zunahme: die Gesamtzeit der Vokalisationen und die Häufigkeit des Brauen Zusammenziehens sind am niedrigsten beim Reiz B (Abbildung 4).
Verlauf
Die Aufgliederung der Reizdarbietungszeit in vier Zeitabschnitte ermöglicht eine Beurteilung der Veränderung einzelner Variablen im Verlauf der Darbietung. Gesichert ist einzig die Abnahme der Zeitdauer des Brauen Hochziehens (p < 5%, Abbildung 5). Wechselwirkungen zwischen Zeitabschnitt und Reiz oder Zustand lassen sich nicht nachweisen.

Abbildung 4: Hauptwirkungen des Reizes. · = Summe in Sekunden. f = Häufigkeit.

Abbildung 5: Wirkung über die vier Zeitabschnitte (je 30 sec) der Reizdarbietung. · = Summe in Sekunden.
Positionsabhängigkeiten
Sowohl die Reihenfolge innerhalb eines Versuches als auch die Wiederholung über die drei Versuchstage wirken sich auf die abhängigen Variablen aus (Tabelle 2). Innerhalb eines Versuches kommt es von Reizdarbietung zu Reizdarbietung zu einer Abnahme der Fixationszeit und des Kopfausrichtens, sowie der Häufigkeit des Kopfausrichtens und des Brauen Hochziehens. (Abbildung 6a zeigt den Verlauf der Summen der Variablen FIX und KOPF). Vier der fünf Variablen verändern sich in Summe oder Häufigkeit mit den Versuchstagen. Die Summe der Fixationen und die Häufigkeit des Kopfausrichtens nehmen über die Versuchstage hinweg ab, während die Summen der Vokalisationen und des Brauen Zusammenziehens zunehmen (Abbildung 6b zeigt den Verlauf von FIX und VOK).

Abbildung 6: Wirkungen der Position innerhalb eines Versuches (6a) und des Versuchstages (6b). Z = Surnme in Sekunden.
Tabelle 2: Positionsabhängigkeiten sowohl am jeweiligen Versuchstag als auch über die drei Versuchstage hinweg. · = Summe in Sekunden; f = Häufigkeit (FG: 5 bzw. 2/45)
Variable | Reihenfolge der Reizdarbietung am Versuchstag | Reihenfolge der Versuchstage | ||||||||||
|---|---|---|---|---|---|---|---|---|---|---|---|---|
Durchschnittswerte in Position | F-Test | Durchschnittswerte am Tag | F-Test | |||||||||
1 | 2 | 3 | 4 | 5 | 6 | 1 | 2 | 3 | ||||
FIX | · | |||||||||||
f | ||||||||||||
KOPF | · | |||||||||||
f | ||||||||||||
BRH | · | |||||||||||
f | ||||||||||||
BRZ | · | |||||||||||
f | ||||||||||||
VOK | · | |||||||||||
f | ||||||||||||
Korrelationen zwischen abhängigen Variablen
Wie Tabelle 3 zeigt, korrelieren die Variablen Fixation und Kopfausrichtung deutlich positiv miteinander, beide ebenfalls positiv mit Brauen Hochziehen, während letzteres negativ mit Brauen Zusammenziehen korreliert. Zusammenhänge bestehen auch zwischen Vokalisationen und Kopfausrichtung einerseits (negativ) und Brauen Zusammenziehen andrerseits (positiv). Es deutet sich also folgende Gruppierung der Variablen an: FIX, KOPF und BRH einerseits, VOK und BRZ andrerseits, wobei zwischen den Gruppierungen v.a. bezüglich der Brauentätigkeit eine negative Beziehung besteht.
Tabelle 3: Korrelationen zwischen den abhängigen Variablen über Kinder und Reizdarbietungen. (*** = p < .001; ** = p < .01; * = p < .05)
FIX | ||||
KOPF | ||||
ERH | ||||
BR250 |
Pulsreaktionen
Insgesamt kommen Decelerationen und Accelerationen mit gleicher Häufigkeit vor (42 : 41). Die relative Häufigkeit der Beschleunigungen ist in Zustand I am höchsten, in Zustand III am geringsten (71% bzw. 33 %, x2 = 8.64, FG = 2, p < .02). Bezüglich der drei Reize unterscheiden sich die Häufigkeiten nicht.
Globalurteil Gelöstheit vs. Gespanntheit
Die Gruppe der gelösten Reaktionen unterscheidet sich nicht von derjenigen der gespannten bezüglich der Häufigkeiten, mit denen die drei Zustände und die drei Reize vertreten sind. Sehr deutlich unterscheiden sich die beiden Gruppen jedoch bezüglich der Position im Versuchsablauf: in der Gruppe der gelösten Reaktionen sind v. a. die Anfangspositionen, in der Gruppe der gespannten Reaktionen v. a. die Schlußpositionen vertreten (X2 = 18.2, FG = 2, p < .01).
Sehr eindeutig unterscheiden sich die beiden Gruppen in allen Verhaltensvariablen (Abbildung 7). Bei den gespannten Reaktionen sind die Summenwerte für FIX, KOPF und BR H niedriger, diejenigen für BR Z und VOK höher als bei den gelösten Reaktionen. In den Variablen BR H und BR Z liegt der Unterschied bei allen Kindern in der erwähnten Richtung, bei den übrigen Variablen jeweils bei 5 der 6 Kinder.

Abbildung 7: Unterschied der Mittelwerte einzelner Variablen zwischen den drei gelöstesten (1. Punkt) und den drei gespanntesten (2. Punkt) Reaktionsverläufen (vgl. Text). Jedes Kind ist einzeln dargestellt (B HI K S W = die einzelnen Kinder).
Es stellt sich zunächst die Frage, ob sich aufgrund der Ergebnisse des Versuches eine Veränderung der Interpretation der einzelnen abhängigen Variablen aufdrängt. Bisher wurden Fixation und Kopfausrichtung als Aufmerksamkeitsindikatoren, Brauen Hochziehen als Zeichen der Losung und Brauen Zusammenziehen und Vokalisationen als Zeichen von Spannung angesehen. Sowohl die Korrelationen zwischen den Variablen als auch die Wirkungen von Zustand, Reiz und Position lassen die aufgrund dieser Interpretation zu erwartenden Gruppierungen weitgehend erkennen. Während zwischen Fixationszeit und den Spannungsindikatoren keine Korrelation besteht (was dem Befund von LANG, 1967, entspricht, der eine kurvilineare Beziehung angedeutet fand), weisen die Variablen Brauen Hochziehen und Kopfausrichtung eine negative Beziehung zu Brauen Zusammenziehen bzw. Vokalisationen auf. Die Werte der Korrelationskoeffizienten sind zwar keineswegs hoch, was darauf beruht, daß einige Kinder die erwähnte Gruppierung wegen zu geringer Varianz in einzelnen Variablen nicht erkennen lassen. Bei keinem Kind zeigt sich jedoch eine andere Art der Gruppierung.
Die einzige Variable, für die die vorgesehene Interpretation kaum aufrechterhalten werden kann, ist die Pulsreaktion. Über die ganze Vpn-Gruppe gesehen, ergibt sie - bei unserer freilich recht groben Auswertung - wenig, nämlich nur eine Abhängigkeit vom Zustand im Sinne des law of initial value: bei niedriger Aktiviertheit sind eher Beschleunigungen, bei hoher Aktiviertheit eher Verlangsamungen des Pulses festzustellen. Bei unserer Definition des Zustandes ist dieses Ergebnis natürlich ein banales, und Wirkungen des Reizes müßten sehr deutlich sein, um sich gegen den Einfluß des Ausgangswertes durchsetzen. Bei einzelnen Kindern lassen sich allerdings Wirkungen des Reizes bzw. Wechselwirkungen mit dem Zustand erkennen: ein Kind zeigte Accelerationen ausschließlich und unabhängig vom Zustand immer beim Reiz C, während ein anderes Kind im Zustand II, wo die Reaktionsrichtung vom Ausgangswert her offen ist, beim Reiz A Deceleration, beim Reiz C Acceleration zeigt. Diese Hinweise sind jedoch zu schwach, so daß wir davon absehen, die Pulsreaktion weiterhin als Hinweis auf Losung bzw. Spannung im Verarbeitungsprozeß zu betrachten.
Die Verhaltensweisen, die sich aufgrund anderer Arbeiten am ehesten als Indikatoren für Losung anbieten, nämlich Lächeln und positive, plaudernde Vokalisationen, kamen in unserem Versuch nur bei einem Kind vor und konnten deshalb nicht systematisch ausgewertet werden.
Mit zunehmender Aktiviertheit des Kindes reduziert sich die Aufmerksamkeitszuwendung, während sich die Zeichen der Spannung vermehren. Hat dies zu bedeuten, daß bei höherem Erregungsniveau die Aufmerksamkeit weniger lange auf den Reiz gerichtet werden kann (z. B. wegen konkurrierender Aktivitäten), daß deshalb nicht optimale Bedingungen für die Reizverarbeitung gegeben sind, die Verarbeitung eher mißlingt und es zu erhöhter Spannung kommt? Oder führt die durch Reizeinwirkung entstehende Erregung bei höherer Aktiviertheit dazu, daß die Gesamterregung schlechter strukturiert werden kann (i.S. der Ueberlegungen von LANG 1967 und MEILI 1972) und es deshalb zu mehr Spannung kommt? Diese Frage kann natürlich vorläufig nicht entschieden werden, sondern verlangt eine Präzisierung, so daß eine empirische Oberprüfung möglich wird.
Die Erwartung, Reiz B (mittlerer Diskrepanzgrad) erhalte die größte Aufmerksamkeitszuwendung, hat sich nicht bestätigt. Die einzelnen Kinder zeigen allerdings sehr ausgeprägte Unterschiede der Aufmerksamkeitszuwendung zwischen den Reizen. Das Maximum liegt jedoch nur bei 2 Kindern beim Reiz B, bei dreien liegt es beim Reiz C und bei einem beim Reiz A. Diese uneinheitliche Wirkung der Reize kann verschiedene Gründe haben. So können bei unserer kleinen Stichprobe die scheinbaren individuellen Unterschiede einfach zufällig sein. Es ist aber auch möglich, daß tatsächlich einige Kinder bei minimaler, andere bei sehr starker Diskrepanz die stärkste Aufmerksamkeitszuwendung zeigen. Drittens ist es möglich, daß die von uns festgelegten Diskrepanzstufen nicht für alle Kinder dasselbe bedeuten: je nach Individuum könnte A, B oder C «mittlere Diskrepanz» darstellen. Während die erste Möglichkeit einfach durch Vergrößerung der Stichprobe abzuklären wäre, kann zwischen den beiden anderen Ursachen kaum entschieden werden. Voraussetzung dazu wäre eine bessere, insbesondere eine individualisierte Skalierung des Diskrepanzgrades.
Die Spannungsindikatoren sind am niedrigsten beim Reiz B. Es entspricht der Erwartung, daß sie beim Reiz C höher sind als beim Reiz B: die Wahrscheinlichkeit, daß die Verarbeitung nicht gelingt und Spannung entsteht ist bei starker Diskrepanz größer. Daß die Spannung jedoch auch beim Reiz A stärker ausgeprägt ist als beim Reiz B ist schwieriger zu erklären. Eine Möglichkeit ist die, daß die Verarbeitung von A rasch abgeschlossen werden kann, daß sich aber dann in der relativ reizarmen Situation «Langeweile» einstellt, die sich zunehmend in Zeichen der Spannung äußert. Es ist jedoch auch denkbar, daß im Falle der raschen Zuordnung des Reizes A zum Gesichts-Schema eine Reaktion oder Veränderung des Reizes erwartet wird und Spannung entsteht, wenn diese ausbleibt. Das Verhalten eines Kindes in unserem Versuch legt eine solche Möglichkeit nahe. Dieses Kind zeigte beim Reiz A zunächst starke Aufmerksamkeitszuwendung, lächelte mehrmals und plauderte wie gegenüber einer Person. Bei andauernder häufiger Fixation des Reizes erschienen dann zunehmend Zeichen der Spannung (Brauenzusammenziehen und allmählich in Weinen übergehende Vokalisationen). Nach KAILA (1932) tritt ein solches Verhaltensmuster auf, wenn ein zunächst sprechendes und sich bewegendes Gesicht plötzlich «erstarrt», das heißt keine Reaktion mehr zeigt.
Das Ausmaß der Aufmerksamkeitszuwendung nimmt bei wiederholter Reizdarbietung ab. Ein solcher Habituationseffekt innerhalb eines Versuches erstaunt nicht, ist doch die Habituation der Fixationsreaktion Gegenstand vieler Untersuchungen mit Säuglingen (eine neuere Obersicht wird in TIGHE und LEATON, 1976, gegeben). Überraschend ist allerdings die Tatsache, daß eine Verminderung der Aufmerksamkeitszuwendung sowie eine Zunahme der Spannungsanzeichen über die Versuchstage hinweg zu beobachten ist. (Dies mag teilweise ein Artefakt darstellen, da insgesamt der Zustand 1 etwas häufiger am ersten Tag, die Zustände II und III häufiger am zweiten und dritten Tag vorkamen. Allerdings dürfte das Resultat nicht vollständig dadurch zu erklären sein.) Nachweise von Habituationswirkungen über 24 Stunden und mehr bei sehr jungen Säuglingen sind vereinzelt berichtet worden (z. B. ROVEE und FAGEN, 1976), und es ist durchaus möglich, daß solche bei der relativ massierten Reizvorgabe in unserem Versuch stattgefunden haben. In unserem Zusammenhang fragt es sich, ob die zunehmende Spannung daraus resultiert, daß mit nachlassendem «Interesse» an der Situation die Verarbeitung der Reize beeinträchtigt wird, oder ob gar keine Verarbeitung mehr in Gang kommt und sich in der sonst reizarmen Umgebung zunehmend «Langeweile» und Unruhe einstellen, die sich in Zeichen der Spannung äußern. Die Frage läßt sich nicht entscheiden, die Konsequenz des Befundes ist jedoch sicher die, daß der Wert von Versuchsplänen, die mehrere Reizdarbietungen nacheinander und wiederholte Untersuchungen an verschiedenen Tagen beim selben Kind vorsehen, in Frage gestellt werden muß, obschon man angesichts der großen interindividuellen Unterschiede nur ungern auf wiederholte Messungen verzichtet.
1 Die Untersuchung wurde unterstützt durch den Schweizerischen Nationalfonds zur Förderung der Wissenschaftlichen Forschung, Projekte Nr. 1.065-0.74 und 1.361-0.76. <<<<
BELL, R. Q. und HAAF, R. A.: Irrelevante of newborn waking states to some motor and appetitive responses. Child Developnent, 42, 197 I, 69-77.
BERG, K. M., BERG, W. K. und GRAHAM, F. K.: Infant heart rate response as a function of stimulus and state. Psychophysiology, 8, 1971, 30-44.
CAMPOS, J. J. und BRACKBILL, Y.: Infant State: relationship to heart rate, behavioral response and response decrement. Developmental Psychobiology, 6, 1973,9-19.
VON CRANACH, M. und VINE, I.: Social communication and movement. London: Academic Press, 1973.
ESCALONA, S. K.: The study of individual differentes and the Problem of state. American Academy of Child Psychiatry Journal, 1, 1962, 11-37.
HOPKINS, J. R., ZELAZO, P. R., JACOBSON, S. W. und KAGAN, J.: Infant reactivity to stimulus-schema discrepancy. Genetic Psychology Monographs, 93, 1976, 27-62.
HUTT, S. J., LENARD, H. G. und PRECHTL, H. F. R.: Psychophysiological studies in newborn infants. In: LIPSITT und REESE (Eds.): Advances in Child Development and Behavior, 4, London: Academic Press, 1969.
KAGAN, J.: Change and continuity in infancy. New York: Wiley, 1971.
KAILA, E.: Die Reaktion des Säuglings auf das menschliche Gesicht. Annales Universitatis Aboensis, 17, (Ser. B), 1932, 1-114.
KARMEL, B. 2.: The effect of age, complexity and amount of contour on pattern preferences in human infant. Journal of ExperimentalChild Psychology, 7, 1969, 339-354.
KAUFMANN, F., GURTNER, A., KAESERMANN, M. L., KAUFMANN, R. und LANG, A.: Das Berner Säuglingslabor. Forschungsberichte aus dem Psychologischen Institut der Universität Bern, 1976-3.
LANG, A.: Über Wahrnehmungsverhalten beim 8-l0-wöchigen Säugling. Psychologische Forschung, 30, 1967, 357-399.
LEWIS, M., BARTELS, B. und GOLDBEBG, S.: State as a determinant of infant's heart rate response to stimulation. Science, 155, 1967, 486-488.
LOHR, W.: Verhalten und Spannungszustände bei Säuglingen im Alter von 10 bis 18 Wochen in einer Wahrnehmungssituation. Zeitschrift für experimentelle und angewandte Psychologie, 61, 1960, 227-277.
McCALL, R. B. und KAGAN, J.: Individual differentes in the infant's distribution of attention to stimulus discrepancy. Developmental Psychology, 2, 1970, 90-98.
MCCALL, R. B., HOGARTY, F. M., HAMILTON, J. S. und VINCENT, J. H.: Habituation rate and the infant's response to visual discrepancies. Child Developmeat, 44, 1973, 28-287.
MEILI, R.: Anfänge der Charakterentwicklung. Bern: Huber, 1957.
MEILI-DWORETZKI, G. und MEILI, R.: Grundlagen individueller Persönlichkeitsunterschiede. Bern: Huber, 1972.
PRECHTL, H. F. R., KERR GRANT, D., LENARD, H. G. und HRBEK, A.: The lip-tap reflex in the awake and sleeping newborn infant. Experimental Brain Research, 3, 1967, 148-194. (a)
PRECHTL, H. F. R., VLACH, V., LENARD, H. G. und KERR GRANT, D.: Exteroceptiv and tendon reflexes in various behavioural states in the newborn infant. Biologia Neonatorum, 11, 1967, 159-175. (b)
PRECHTL, H. F. R. und BEINTEMA, D. J.: The neurological examination of the fullterm newborn infant. Clinics in Developmental Medicine, No. 12. London: Heinemann, 1964.
PULVER, U.: Spannungen und Störungen im Verhalten des Säuglings. Bern: Huber, 1959.
REWEY, H. H.: Developmenral change in infam heart rate response during sleeping and waking states. Developmental Psycho/ogy, 8, 1973, 35-41.
ROVEE, C. K. und PAGEN, J. W.: Extended conditioning and 24-hour retention in infants. Journal of Experimental Child Psychology, 21, 1976, 1-11.
SHULTZ, T. R. und ZIGLER, E.: Emotional concominants of visual mastety in infants: the effects of stimulus movement on smiling and vocalizing. Journal of Experimental Child Psychology, 10, 1970, 390-402.
SOKOLOV, E. N.: Perception and the conditioned reflex. New York: Macmillan, 1963.
THEORELL, K., PRECHTL, H. F. R. und Vos, J. E.: A polygraphic study of normal and abnormal newborn infants. Neuropädiatrie, 5, 1974, 279-317.
TIGHE, T. J. und LEATON, R. N. (Eds.): Habituation. Hillsdale: Lawrence Erlbaum Associates (LEA), 1976.